• Предмет: Алгебра
  • Автор: Аноним
  • Вопрос задан 3 года назад

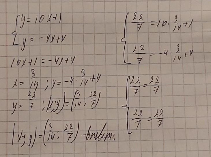
Сколько решений имеет система уравнений {y=10x+1y=−4x+4?

(В окошке запиши число или «нет решений», если система решений не имеет.)
Ответ:
.

Приложения:

Ответы

Ответ дал: aag2109i
0

Ответ:

Ответ смотри во вложении

Приложения:
Вас заинтересует