• Предмет: Физика
  • Автор: ruslanashrafov
  • Вопрос задан 10 лет назад

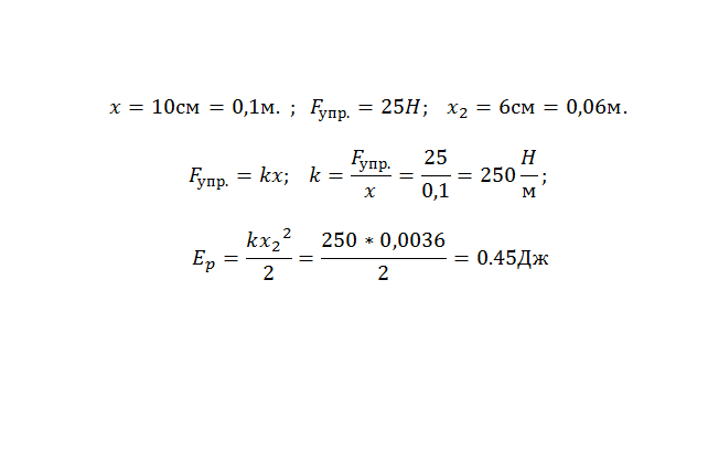
при растяжении пружины на 10 см в ней возникает сила упругости равная 25 н. Определите потенциальную энергию этой пружины при растяжении ее на 6 см.

Ответы

Ответ дал: alexserg56
0
Держи решение, удачи с задачами. 
Приложения:
Вас заинтересует