• Предмет: Алгебра
  • Автор: AmirYmniy
  • Вопрос задан 3 года назад

Помогите пожалуйста прямо сейчас надо алгебра!!!!!!!

Приложения:

Ответы

Ответ дал: whitewhitefox666
0

Ответ:

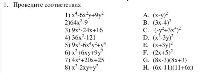
1-D

2-G

3-B

4-H

5-C

6-C

7-E

8-A

Объяснение:


AmirYmniy: Правильно?
whitewhitefox666: да 100%
Вас заинтересует