• Предмет: Математика
  • Автор: vtkali4
  • Вопрос задан 3 года назад

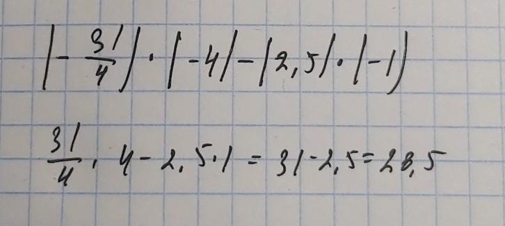
найдите значение выражения |-31/4|*|-4|-|2,5|*|-1|​

Ответы

Ответ дал: aag2109i
1

Ответ:

Ответ смотри во вложенит

Приложения:
Вас заинтересует