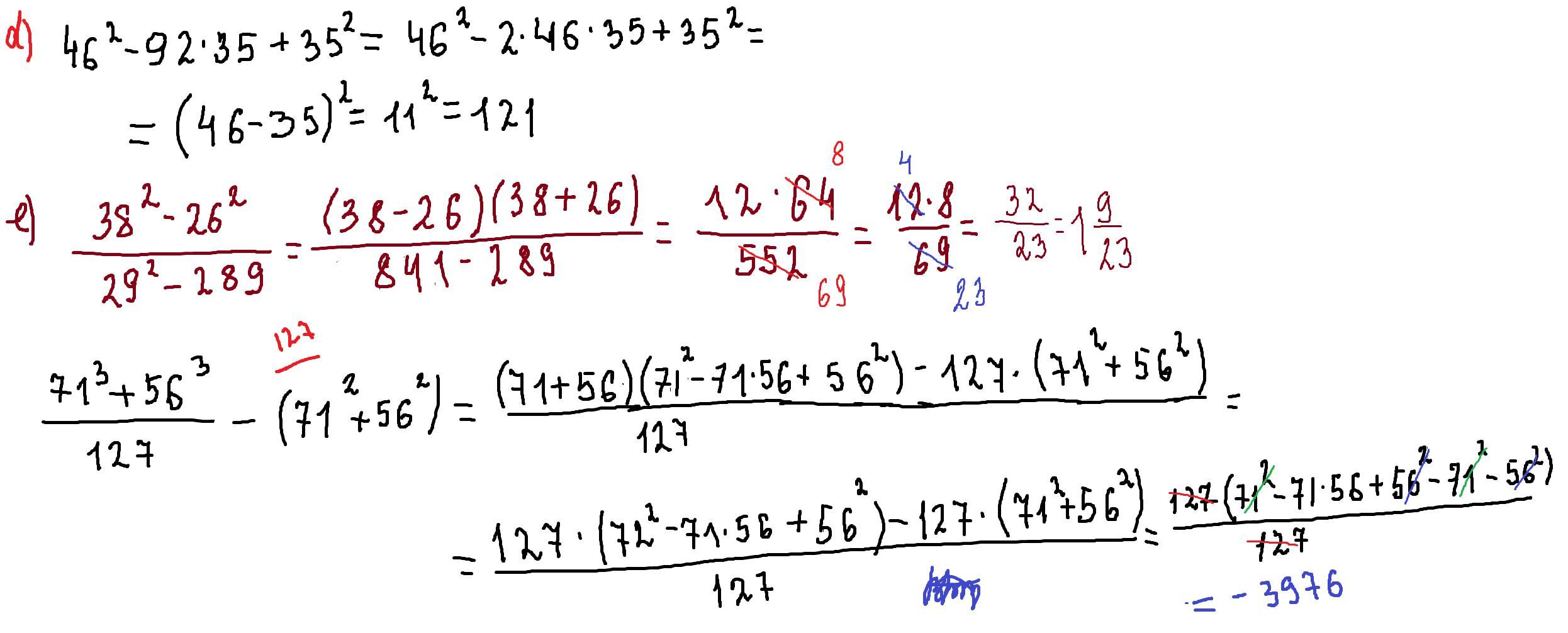
Вычислите пожалуйста, полностью с решением!!!)
На картинке^
Приложения:

636374799:
кто знает сделайте срочно пожалуйста очень быстро
Ответы
Ответ дал:
1
Ответ:
Объяснение:
решение внизу
Приложения:

Ответ дал:
0
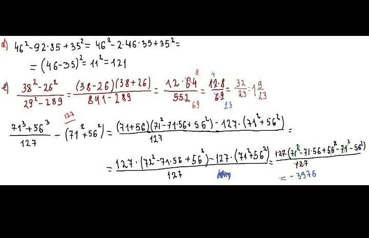
Ответ:
смотри на картинке
аоаоаоаоооаооаоаооооо
Приложения:

Вас заинтересует
2 года назад
2 года назад
2 года назад
2 года назад
8 лет назад
9 лет назад
9 лет назад