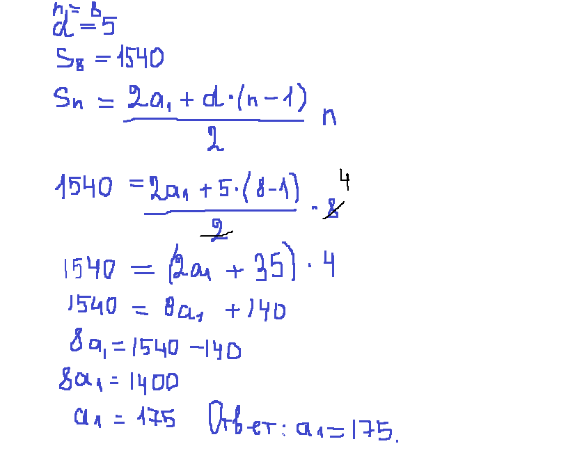
разность арифметической прогрессии равна 5.Сумма восьми первых членов равна 1540Найдите первый член этой прогрессии
Ответы
Ответ дал:
0
извиняюсь за кач-во,писать по формулам это нереально)
Приложения:

Вас заинтересует
2 года назад
2 года назад
8 лет назад
10 лет назад
10 лет назад
10 лет назад