• Предмет: Алгебра
  • Автор: asqwerty272
  • Вопрос задан 3 года назад

Помогите с алгеброй
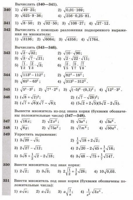
№ 346(чет),348,349(чет)
С решением пожалуйста!!!

Приложения:

Ответы

Ответ дал: tetjanasimkanich
0

Ответ:

✓2 *✓32 = 8

✓3•✓7•√21 = 21

✓10*✓90=30


tetjanasimkanich: ✓2 *✓22*✓11 = 22
tetjanasimkanich: 5) = 1
tetjanasimkanich: 6) 1/2
asqwerty272: я же....написал номера
tetjanasimkanich: я вирішили скільки знала
Вас заинтересует