• Предмет: Алгебра
  • Автор: EvgeniaSokolyazky
  • Вопрос задан 10 лет назад

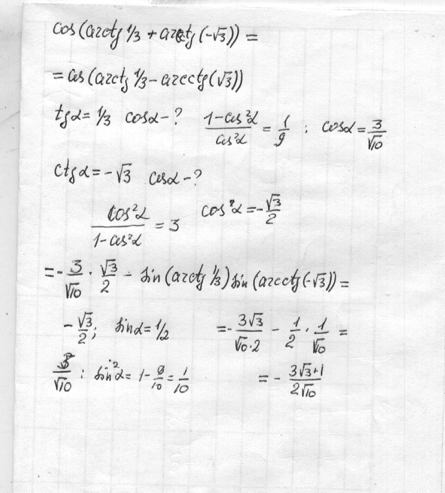
помогите пожалуйста, по формуле суммы аргументов разложила, а дальше не получается

cos(arctg(1/3)+ arcctg (-√3))

Ответы

Ответ дал: rskopov
0
               Решение:

Смотри вложение:....



Приложения:
Вас заинтересует