• Предмет: Химия
  • Автор: Аноним
  • Вопрос задан 3 года назад

Помогите пожалуйста с химией пожалуйста!!!!!!! Продолжение ещё 2 задания у меня в профиле тоже, помогите пожалуйста очень вас прошу

Приложения:

mirvahidovmirabbos: нет, 1
mirvahidovmirabbos: там легко в принципе

Ответы

Ответ дал: Himulia
1

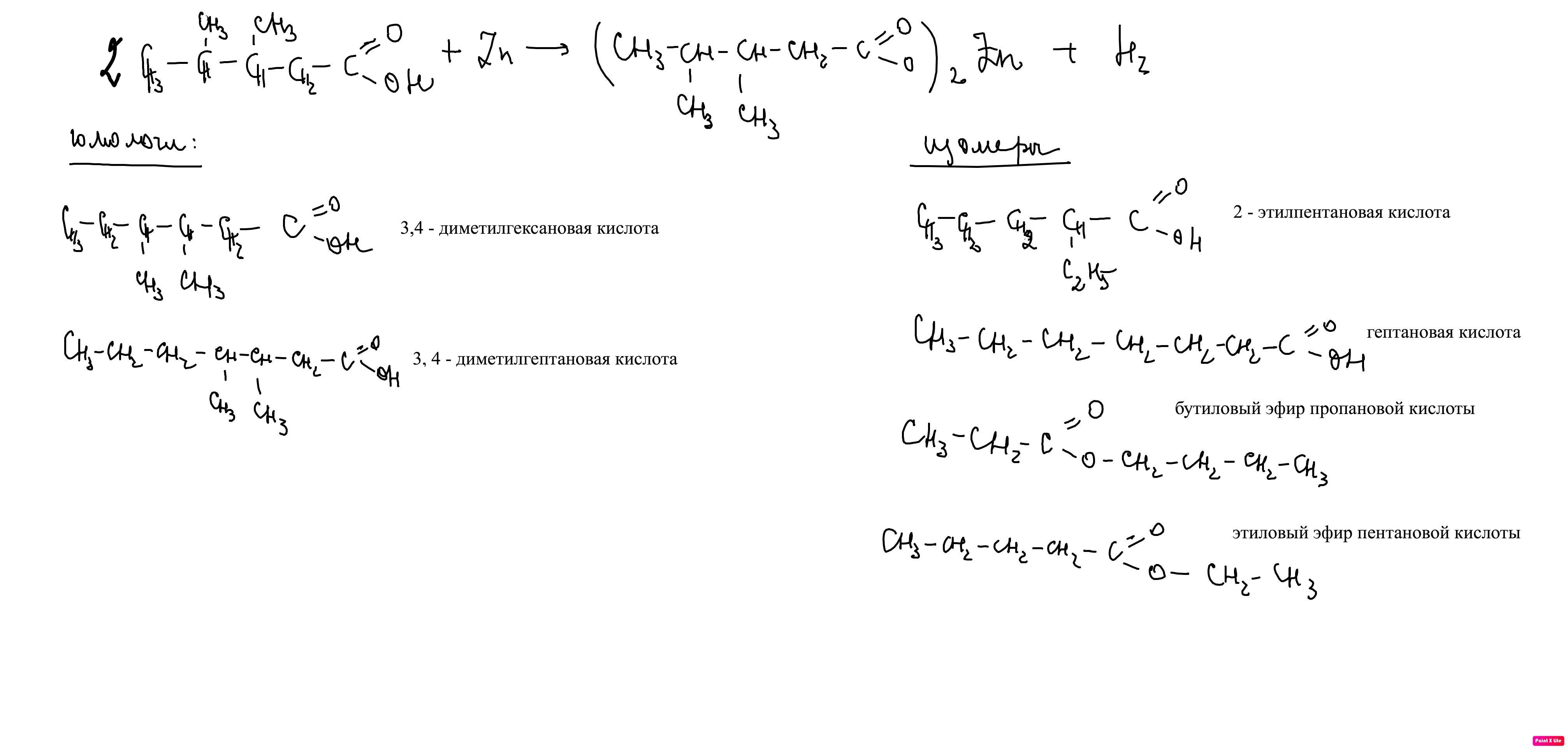
Ответ:

ответ в файле

Объяснение:

Приложения:
Вас заинтересует