• Предмет: Математика
  • Автор: gleb8861
  • Вопрос задан 3 года назад

помогите пж 30 баллов дам ​

Приложения:

gleb8861: тоесть 15

Ответы

Ответ дал: Palvanov
0

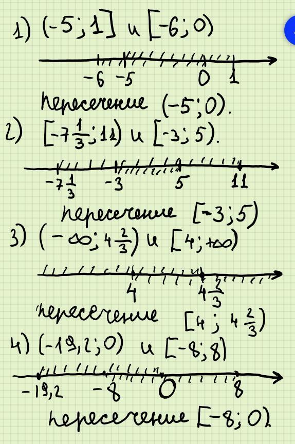
Ответ:

На скрине

Пошаговое объяснение:

Приложения:
Вас заинтересует