• Предмет: Математика
  • Автор: ankirov
  • Вопрос задан 3 года назад

срочноооооо!!!!!!!!!!!!!!!!!!!​

Приложения:

Ответы

Ответ дал: sabinsla
1

Ответ:

Сначлао нужно преобразовать выражение заетм вычислить и упростить) искренне извиняюсь если не правильно, это все, что я смогла сделать)

Приложения:

ankirov: спасибо
parus77: это что у вас за уравнение,записанное в строчку и везде стоит знак равно.В уравнении может быть только один знак равно.
parus77: так нельзя записывать уравнение.
sabinsla: ну сами тогда решайте, я делаю так как нас учили. Я не заставляю именно так записывать :=)
ankirov: Мне в школе не запрещают через равно так что можно
sabinsla: ну вот)
parus77: ну,попробуй записать ее ответ и покажи учителю,посмотри,что он скажет тебе.
parus77: есть такое понятие-культура математической записи.
sabinsla: ну извините уж) как смог
ankirov: извини на уроках так и записываем
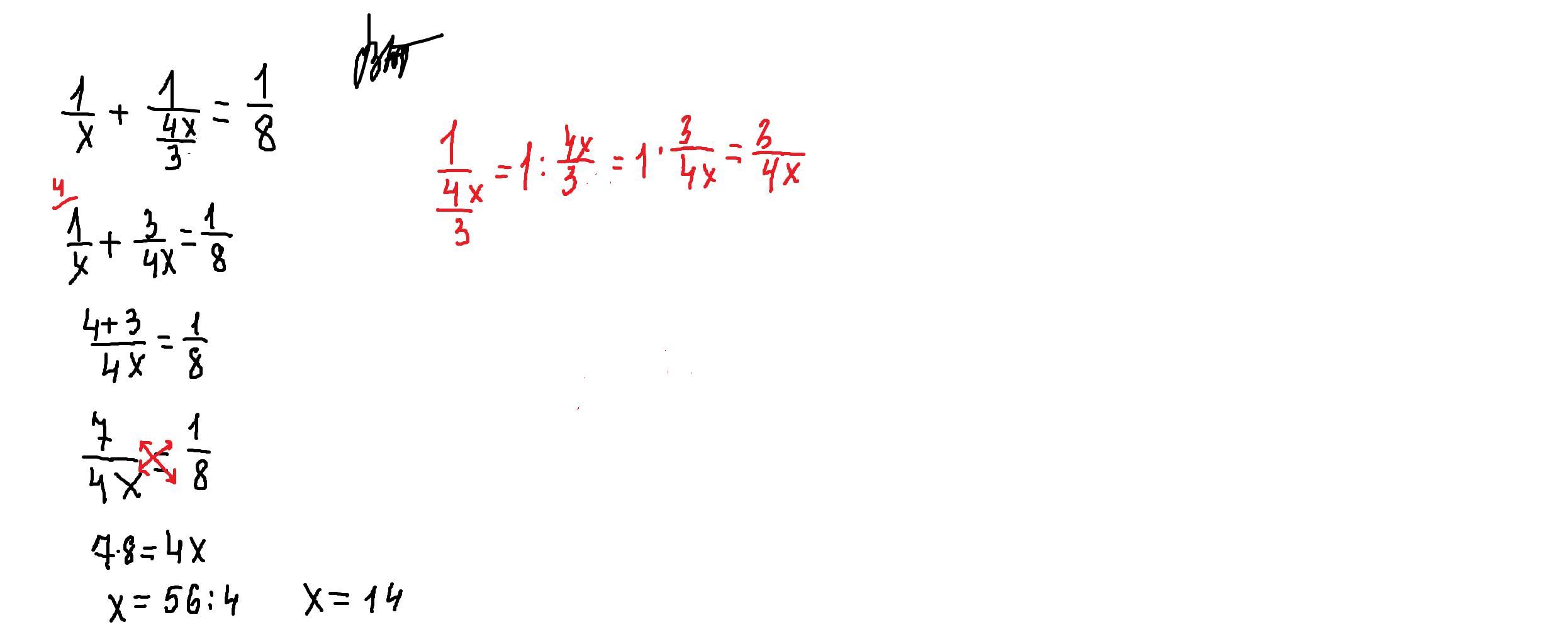
Ответ дал: parus77
1

Ответ:

х=14

Пошаговое объяснение:

Приложения:
Вас заинтересует