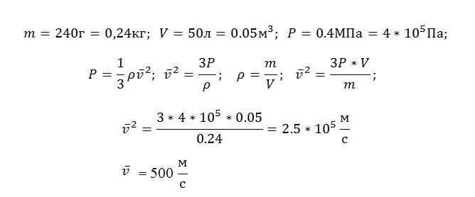
Найти среднюю квадратичную скорость молекул азота, имеющего массу 240 г и занимающего объём 50 л при давлении 0,4 МПа. Азот считать идеальным газом. Ответ выразить в м/с. Если ответ не целый, то округлить до сотых.
Только пожалуйста полное решение, чтобы понятно было.
Ответы
Ответ дал:
0
Решение на фото,качество плохое(
Приложения:


Ответ дал:
0
По условию нужно найти среднюю квадратичную скорость, поэтому думаю, что извлекать корень не нужно.
Ответ дал:
0
Вот держи решение, не забудь написать единицы измерения в расчете.
Приложения:

Вас заинтересует
2 года назад
10 лет назад
10 лет назад