• Предмет: Математика
  • Автор: Saddno
  • Вопрос задан 3 года назад

помогите пожалуйста с 1 и 4, или просто хотя-бы алгоритм решения ​

Приложения:

Ответы

Ответ дал: 68tata
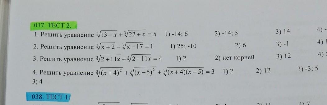
1

Ответ: 1. 2) -14; 5

4 .   -3;

Решение : проба

метод подбора

5 состоит из (2+3),(3+2), (4+1), ( 1+4)  то есть каждый корень приравнять к 2 и 3 и возвести их в куб

\left \{ {{13-x=2^3} \atop 22+x=3^3}} \right. \left \{ {{x=13-8} \atop {x=27-22}} \right.\left \{ {{x=5} \atop {x=5}} \right  подходит

\left \{ {{13-x=3^3} \atop {22+x=2^3}} \right. \left \{ {{x=13-27} \atop {x=8-22}} \right. \left \{ {{x=-14} \atop {x=-14}} \right. подходит

ну можно проверить 4+1

\left \{ {{13-x=1^3} \atop {22+x=4^3}} \right. \left \{ {{x=12} \atop {x=64-22}} \right. \left \{ {{x=12} \atop {x=42}} \right. - не подходит

\left \{ {{13-х=4^3} \atop {22+x=1^3}} \right. \left \{ {{x=13-64} \atop {x=-21}} \right. \left \{ {{x=-51} \atop {x=-21}} \right. не подходит

4 задание

только корни подставлять

Тупо подбор по корням

-3 подходит а +5- не подходит

Вас заинтересует