• Предмет: Математика
  • Автор: saaaay
  • Вопрос задан 3 года назад

вычислите:(2\7+1/4)×2/5​

Приложения:

Ответы

Ответ дал: dyexfnf
3

Ответ:

Пошаговое объяснение:

(2/7+1/4)*2/5= (8/28+7/28)*2/5= 15/28*2/5= 3/14

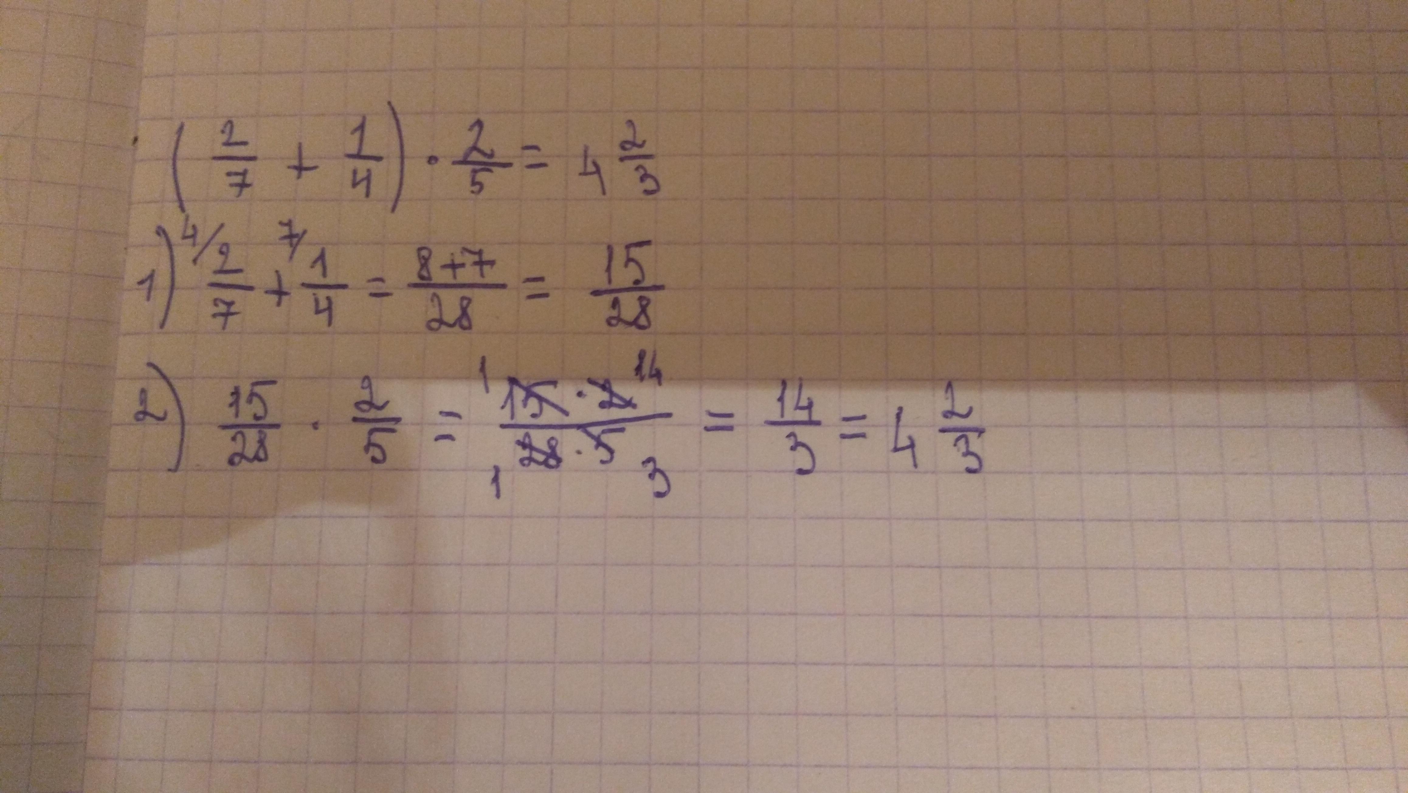
Ответ дал: Vadim1135
1

Ответ:

Ответ на фото

Пошаговое объяснение:

Сделай мой ответ лучшим ★★★★★

Приложения:
Вас заинтересует