Ответы
Ответ дал:
4
Ответ:
На скрине
Объяснение:
Приложения:

Emfysi:
Спасибо
Ответ дал:
4
Объяснение:
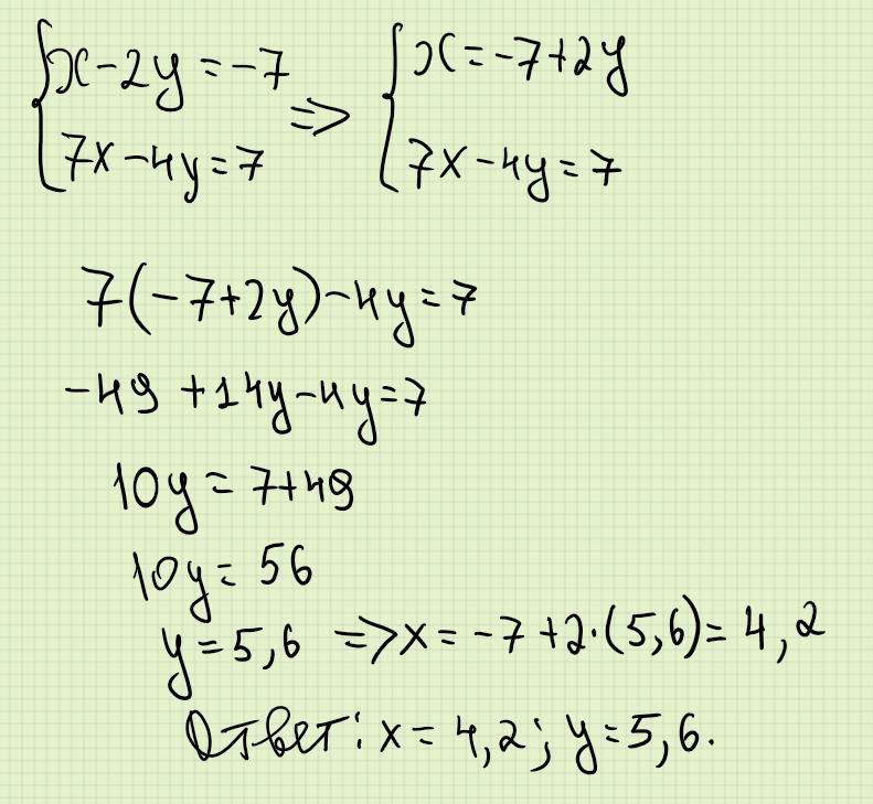
{x-2y= - 7. x= - 7+2y
{7x-4y=7
7×(-7+2y)-4y=7
-49+14y-4y=7
-49+10y=7
10y=7+49
10y=56
y=5,6
x= - 7+2×5,6= - 7+11,2=4,2
Ответ : (4,2;5,6)
Вас заинтересует
2 года назад
2 года назад
8 лет назад
8 лет назад
9 лет назад