• Предмет: Алгебра
  • Автор: asek230209
  • Вопрос задан 11 лет назад

Помогите Заранее спс
√3(√27-√3)

Ответы

Ответ дал: Ekaterina1819
0
Получится вот так вот :)
Приложения:
Ответ дал: Kailissa
0
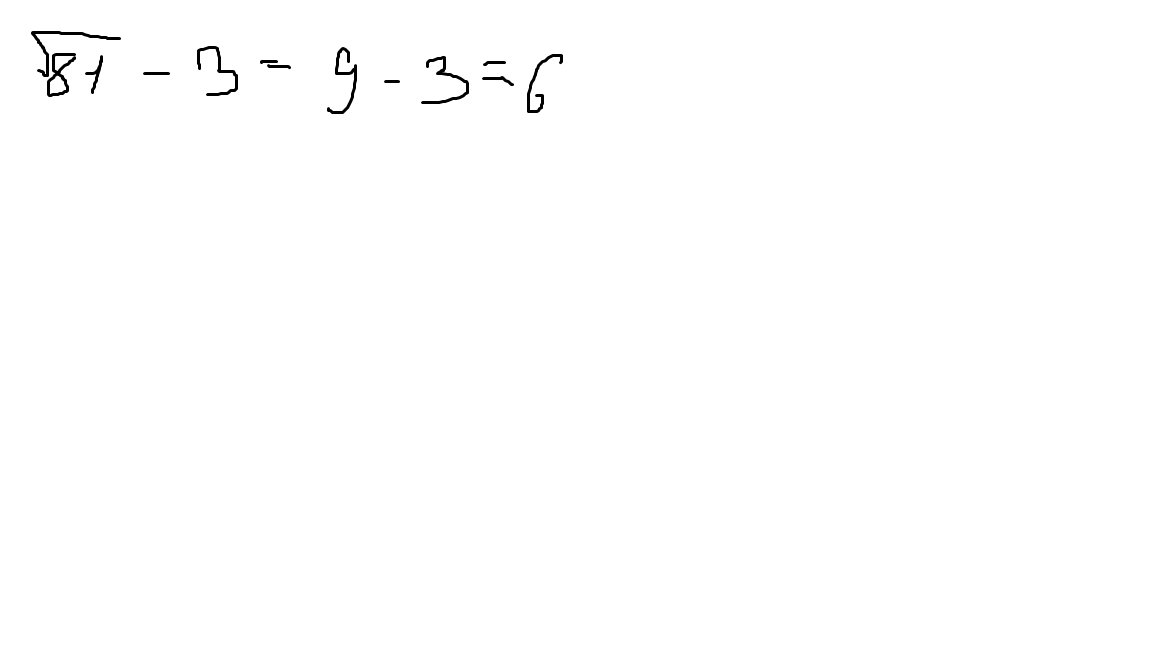
корень из 81 - корень из 9= 9-3=6
Приложения:
Вас заинтересует