Ответы
Ответ дал:
0
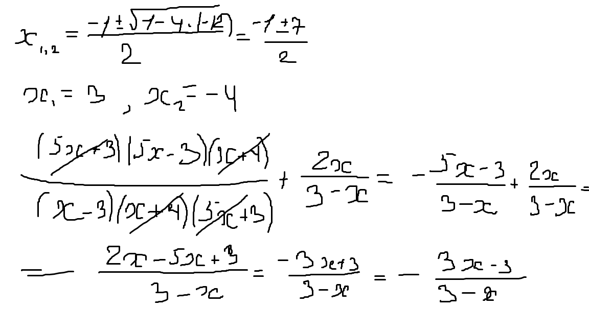
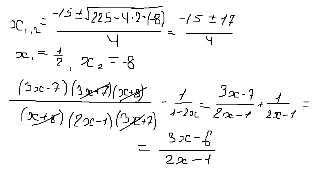
Вот теперь все 2 номера :)
Приложения:


Вас заинтересует
2 года назад
2 года назад
8 лет назад
10 лет назад
10 лет назад
10 лет назад