• Предмет: Алгебра
  • Автор: inlogin96
  • Вопрос задан 3 года назад

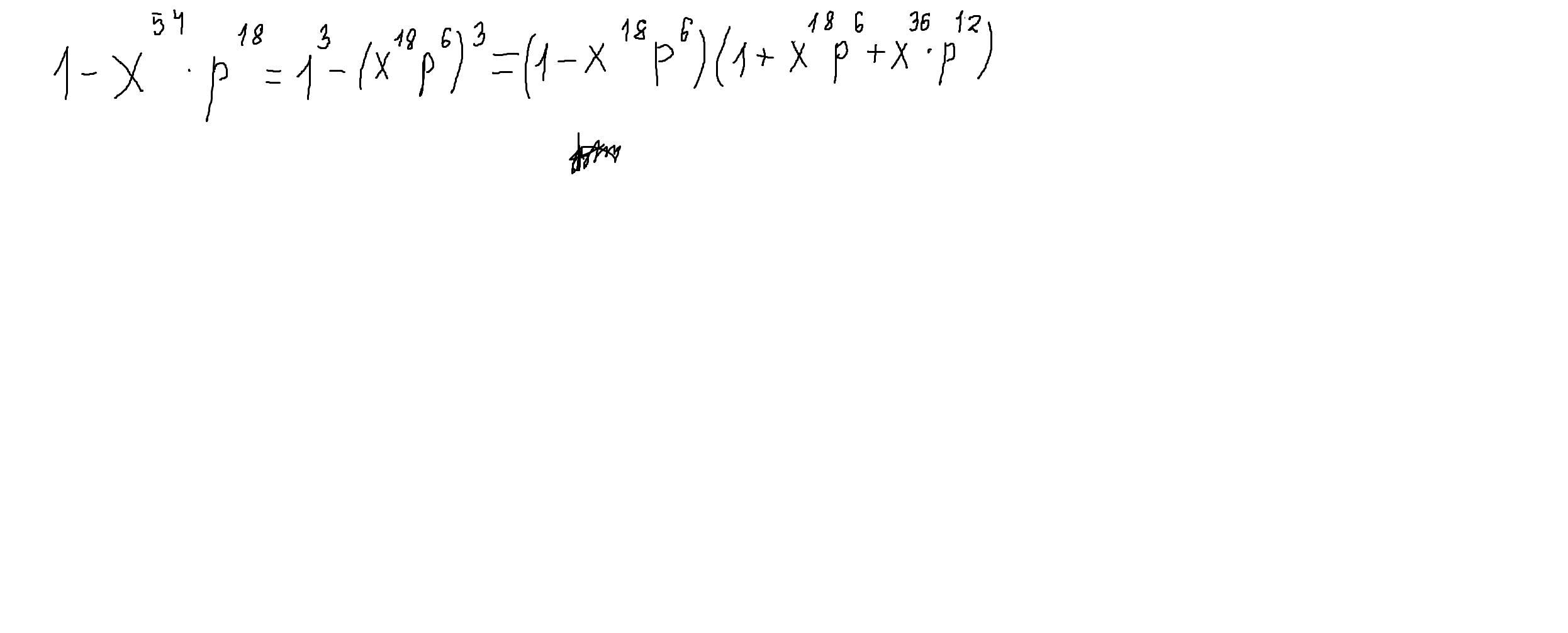
Представь в виде произведения:
1−x54p18.

Выбери правильный ответ:
(1+x18p6)⋅(1−x18p6+x36p12)
(1−x18p6)⋅(1+x18p6+x36p12)
другой ответ
(1−x18p6)⋅(1+2x18p6+x36p12)
(1−x18p6)⋅(1+2x18p6−x36p12)

Ответы

Ответ дал: parus77
5

Ответ:

ответ во 2 строчке

Объяснение:

Приложения:

inlogin96: Спасибо
Вас заинтересует