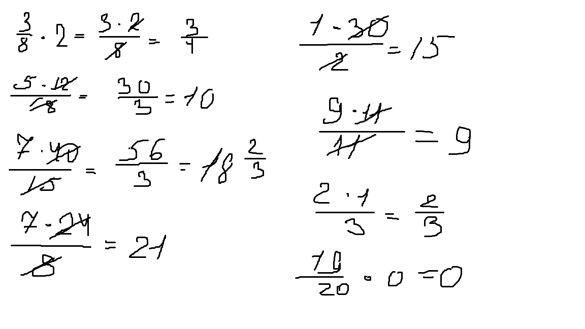
3/8*2 целых=
5/18*12 целых=
7/15*40 целых=
7/8*24 целых=
1/2*30 целых=
9/11*11 целых=
23*1 целых =
19/20*0 целых=
Ответы
Ответ дал:
0
Получится вот так :)
Приложения:

Ответ дал:
0
3/4; 10/3; 56/3; 21; 15; 9; 2/3; 0
Приложения:

Вас заинтересует
2 года назад
2 года назад
8 лет назад
10 лет назад
10 лет назад
10 лет назад