Ответы
Ответ дал:
0
Ответ:
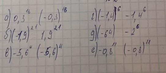
а) одинаковые
б)тоже
в) 2
г) одинаковые
д) одинаковые
е) 2
Ответ дал:
0
у того чела неправильно .....
Приложения:

Вас заинтересует
2 года назад
2 года назад
8 лет назад
8 лет назад
9 лет назад