• Предмет: Алгебра
  • Автор: mikukachu32
  • Вопрос задан 3 года назад

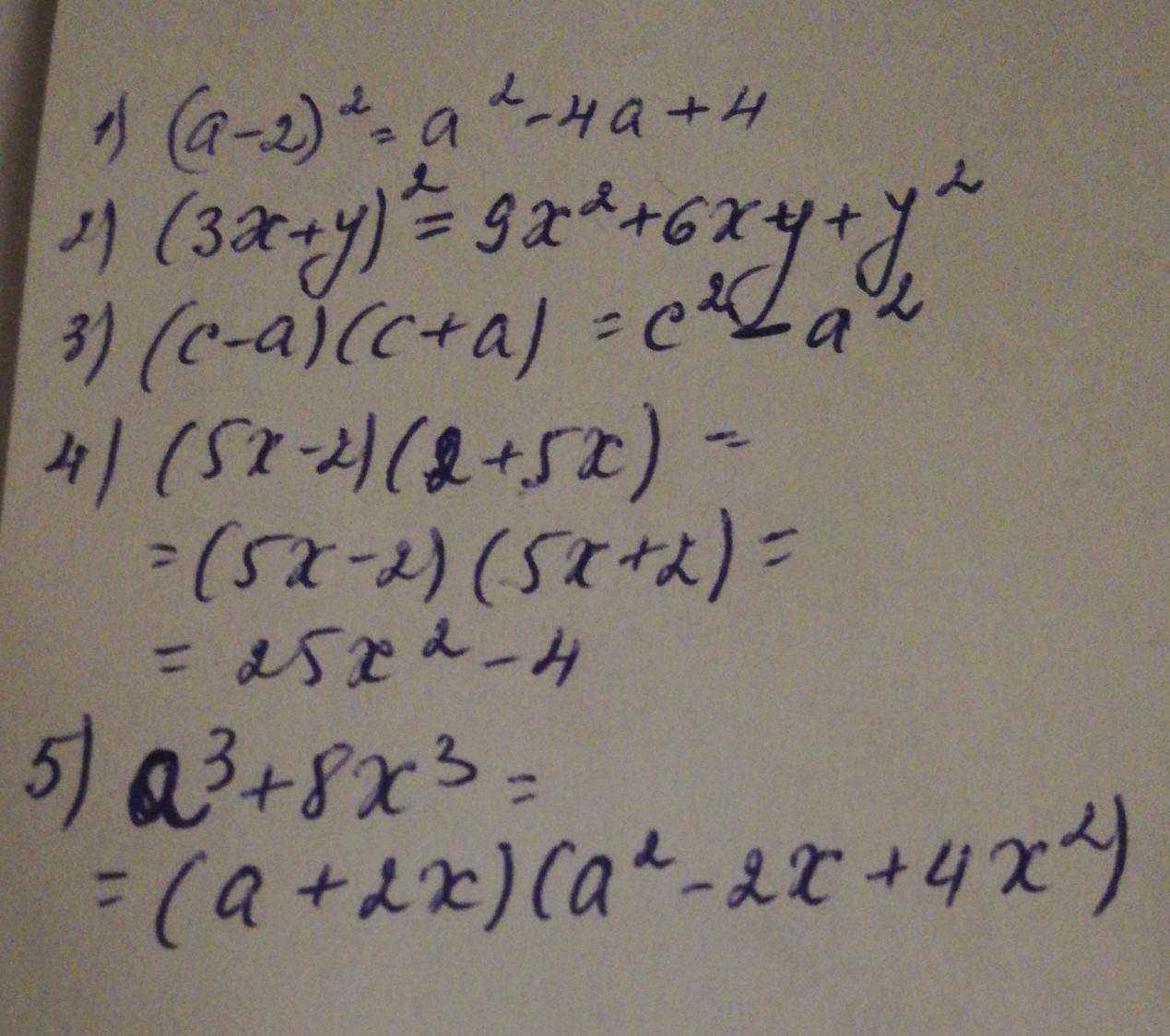
(a - 2)²;
(3x + y)² ;
(c-a)(c+a);
(5x-2)(2+5x);
a³+8x³.
Помогите ПОЖАЛУЙСТА!!!
Даю 20 баллов!


poverinov2005: а что с эти делать то надо?

Ответы

Ответ дал: manyny06
1

Ответ:

решение смотри на фотографии

Объяснение:

Приложения:
Ответ дал: serovaksusa1
1

Ответ:

Смотри решение на фото

Приложения:

veronika0807veronika: помоги пожалуйста с алгеброй будь другом оба упражнения сделать
veronika0807veronika: неравенства
serovaksusa1: это какой класс?
serovaksusa1: я в 9,но мы такого не проходили еще
Вас заинтересует