• Предмет: Алгебра
  • Автор: aaalexanaaa
  • Вопрос задан 3 года назад

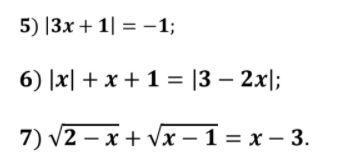
Помогите решить уравнения полностью с решением!

Приложения:

Ответы

Ответ дал: olgaua64
0

Відповідь:

Пояснення:

5. Нет решений так как модуль всегда >0

6. -х+х+1=3-2х & х<0

х=2/2=1 & х<0 → корней нет на х<0

х+х+1=3-2х & 0<х<2/3

х=1/2 & 0<х<2/3.

х+х+1=-3+2х & 2/3<х

1=-3 корней нет

корень уравнения х=1/2

7. Область определения функции : под корнем положительние числа и сумма корней >0

2-х>0 & х-1>0 & х-3>0

2>х & х>1 & х>3

Имеем пустое множество - корней нет

Вас заинтересует