• Предмет: Алгебра
  • Автор: Аноним
  • Вопрос задан 3 года назад

№34.1(чет)№34.3(чет),№34.7(1,3)​ Помогите пж даю 52 балаа

Приложения:

leylas70: Напишите все вопросы четко, я вам решу
leylas70: Только заново, а то я уже не могу скинуть
mariuagalabyrda531: а да а ой

Ответы

Ответ дал: zaicdnk90
1
.........................
Приложения:
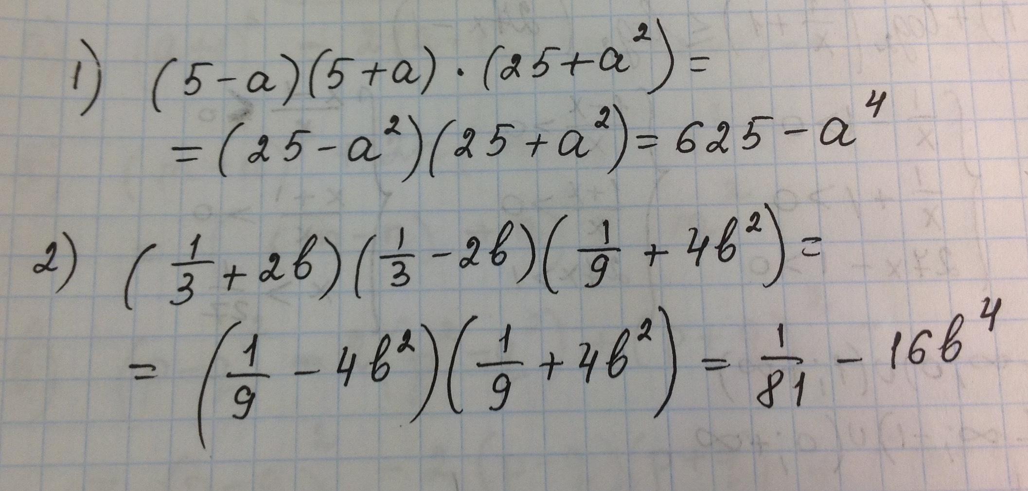
Ответ дал: mariuagalabyrda531
1

Ответ:

надеюсь не ошиблась

Приложения:
Вас заинтересует