решите систему уравнений методом алгебраического сложения:
А) 5х - 4у =8
х-у =2
Б) 5х +3у =1,4
-7х -10у =5
Ответы
Ответ дал:
0
наверное, получится вот так :)
Приложения:
Ответ дал:
0
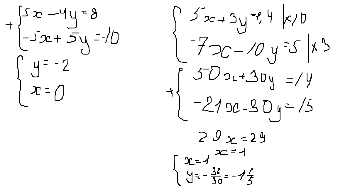
A)5x-4y=8
x-y=2/*-4
5x-4y=8
-4x+4y=-8
x=0
0-y=2⇒y=-2 (0;-2)
Б)5x+3y=1,4/*7
-7x-10y=5/*5
35x+21y=9,8
-35x-50y=25
-29y=34,8
y=34,8:(-29)=-1,2
-7x-10*(-1,2)=5
-7x=5-12=-7
x=1 (1 ;-1,2)
x-y=2/*-4
5x-4y=8
-4x+4y=-8
x=0
0-y=2⇒y=-2 (0;-2)
Б)5x+3y=1,4/*7
-7x-10y=5/*5
35x+21y=9,8
-35x-50y=25
-29y=34,8
y=34,8:(-29)=-1,2
-7x-10*(-1,2)=5
-7x=5-12=-7
x=1 (1 ;-1,2)
Приложения:
Вас заинтересует
3 года назад
3 года назад
11 лет назад
11 лет назад
11 лет назад