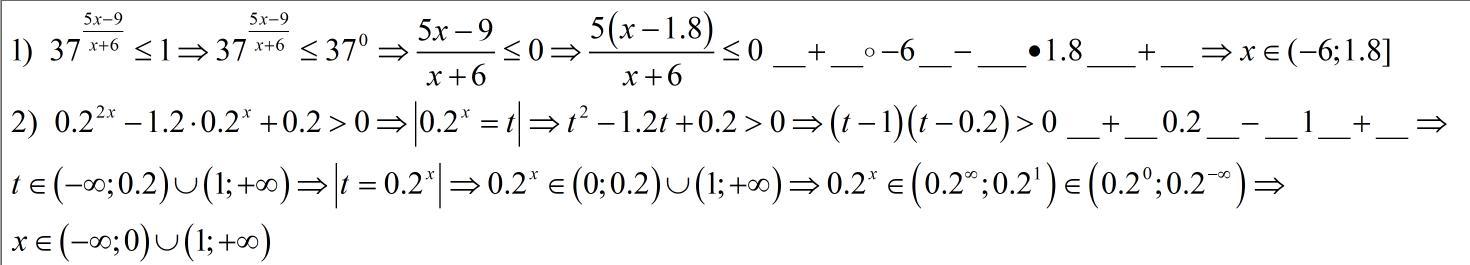
Ответы
Ответ дал:
1
Ответ:
Объяснение:
//////////////
Приложения:

spaceUSHKA:
Там где пропуски, что значит?
Вас заинтересует
2 года назад
2 года назад
2 года назад
8 лет назад
8 лет назад
9 лет назад