• Предмет: Информатика
  • Автор: Аноним
  • Вопрос задан 3 года назад

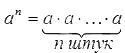
пж ответьте вопрос: напишите действия возведения числа в степень​​

Ответы

Ответ дал: Аноним
1

Ответ:

..............

Приложения:

Аноним: спасибо
Вас заинтересует