ПОМОГИТЕ РАДИ БОГА УЖЕ 5 РАЗ ПИШУ ПОСЛЕДНИЕ БАЛЛЫ ОТДАЮ РАДИ БОГА ЭТО ДРОБНО РАЦИОНАЛЬЕ УРАВНЕНИЯ ПОЛНОЕ РЕШЕНИЕ СДЕЛАЮ ТВОЙ ОТВЕТ ЛУЧШИМ
Приложения:

nnhhfgg:
можешь фото отправить в ручную переписывать наверное долго
Ответы
Ответ дал:
2
Объяснение:
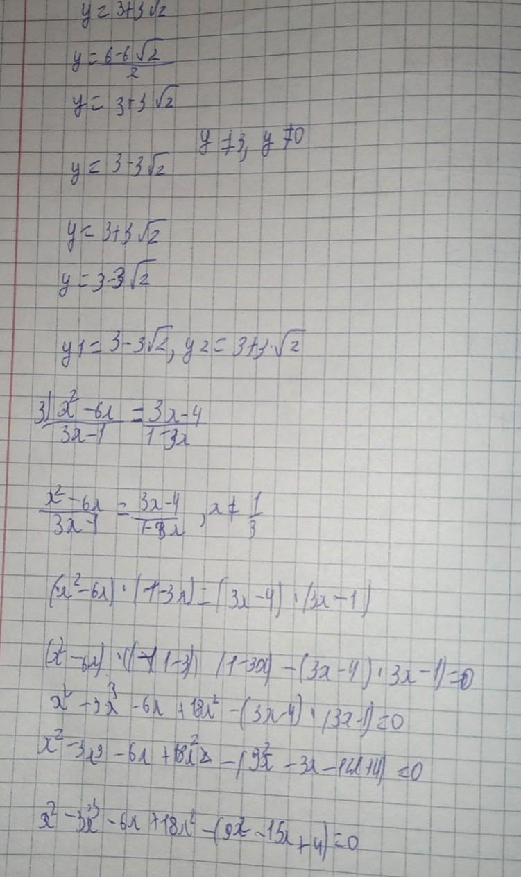
Объяснение на фото
__________
Приложения:

Ответ дал:
1
Ответ:
сейчас еще отправлю решения
Приложения:



Вас заинтересует
2 года назад
2 года назад
2 года назад
8 лет назад
8 лет назад