• Предмет: Алгебра
  • Автор: Нима
  • Вопрос задан 11 лет назад

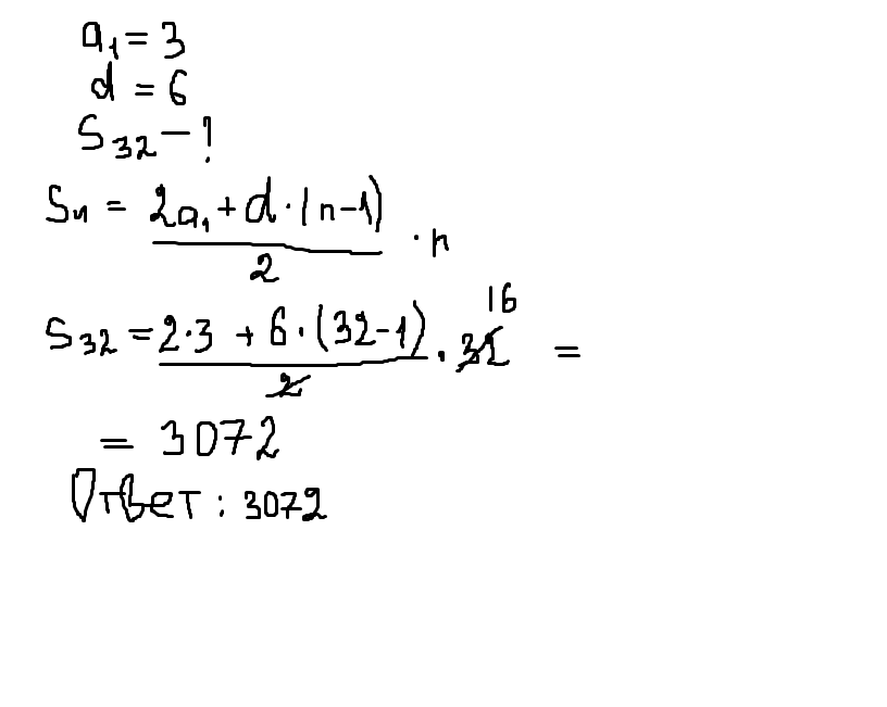
Найдите сумму тридцати двух первых членов арифметической проогрессии,если a1=3,d=6

Ответы

Ответ дал: котлеточка
0

a32=3+(32-1)*6=189

S32=3+189/2*32=3072

 

Ответ дал: prettyzhenya
0

20 символов..............

Приложения:
Вас заинтересует