• Предмет: Алгебра
  • Автор: podshivalovartem10
  • Вопрос задан 3 года назад

Кто решит 45 баллов.Срочно
Пожалуйста

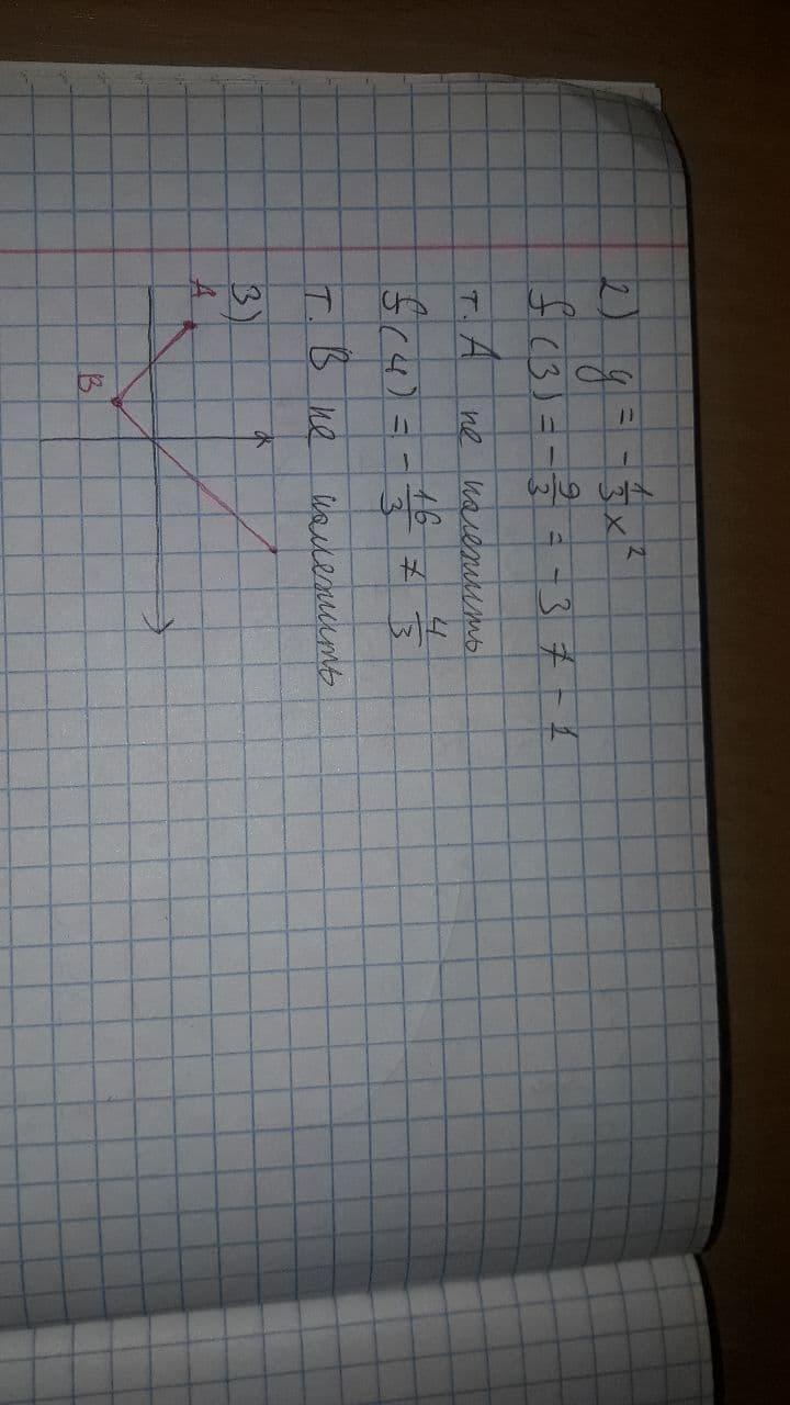
Приложения:

faergrach: 1, 2 и 3?
podshivalovartem10: да,пожалуйста

Ответы

Ответ дал: faergrach
1

Відповідь на фото.....

Приложения:

podshivalovartem10: Боже.Чел.Спасмбо огромное
podshivalovartem10: спасибо
Вас заинтересует