• Предмет: Алгебра
  • Автор: LevaMartyskin
  • Вопрос задан 3 года назад

Помогите решить уравнение!
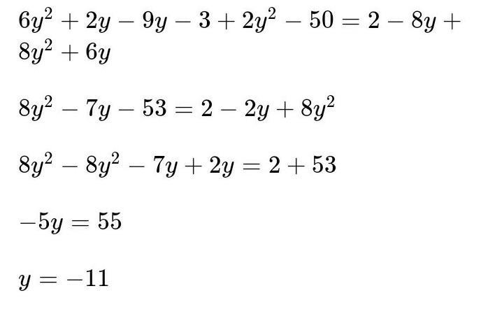
(2у-3)*(3у+1)+2*(у-5)*(у+5)=2*(1-2у)²+6у
ПОЖАЛУЙСТА ПОМОГИТЕ!!!​

Ответы

Ответ дал: sajdullaevaelmira163
1

Объяснение:

ответ на фото))))

можно лучший ответ?!

Приложения:

LevaMartyskin: Да, но только потому, что нужны баллы)
Вас заинтересует