• Предмет: Алгебра
  • Автор: DragonsLover775
  • Вопрос задан 3 года назад

Помогите пожалуйста, срочно надо, можно только 5 и 6, даю 25 баллов

Приложения:

aliyaalikeyeva: Какой класс?
DragonsLover775: 7.

Ответы

Ответ дал: aliyaalikeyeva
2

.......................

Приложения:
Ответ дал: vladaovcharenko20
2

Ответ:

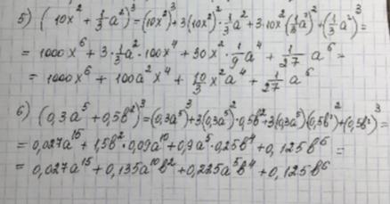
5)

1000х^6+33х^2а^2+0,37х^2а^2+1/27а^6

6)

0,027а^15+0,45а^5б^2+0,075а^5б^2+0,25б^6

Объяснение: .

Вас заинтересует