Разложить на множители разность квадратов c4−d16.
Выбери правильный ответ:
(c4−d16)⋅(c4+d16)
(c2−d8)⋅(c2+d8)
c4−2c2d8+d16
c4+2c2d8+d16
Ответы
Ответ дал:
0
Ответ дан на фотографии:
Приложения:

parus77:
в условии с в 4 степени!!!!!
Ответ дал:
1
Ответ:
отв.во 2 строчке
Объяснение: (a-b)(a+b)= a²-b²
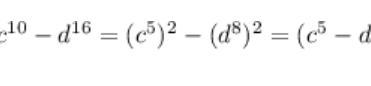
с⁴-d¹⁶=(c²)²- (d⁸)²=(c²-d⁸)(c²+d⁸)
Вас заинтересует
2 года назад
2 года назад
2 года назад
8 лет назад
8 лет назад
9 лет назад