Ответы
Ответ дал:
1
Ответ:
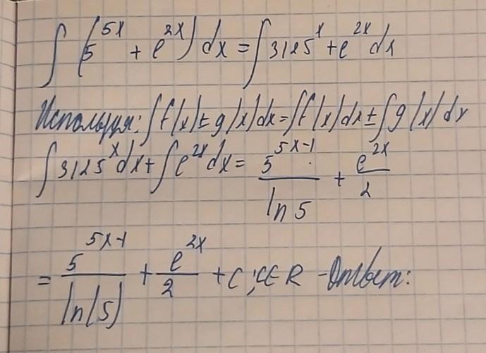
Ответ смотри во вложении
Приложения:

Вас заинтересует
2 года назад
2 года назад
8 лет назад
9 лет назад