• Предмет: Алгебра
  • Автор: 5h4h0v4
  • Вопрос задан 3 года назад

Алгебра 11 класс
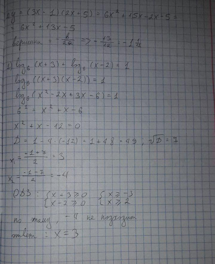
1)log6(x+3)+log6(x-2)=1
2)√x²-6<√3x+4


Nelia2019: В первом корней нет

Ответы

Ответ дал: faergrach
1

Відповідь:

на фото

Пояснення:

Приложения:

Nelia2019: Пересмотрите в логарифмах область допустимых значений. Корни -4 и 3 не входят в этот промежуток.
faergrach: область допустимых значений
faergrach: x >= - 3 и x >=2, число 3 подходит
faergrach: спасибо что подметили)
Вас заинтересует