• Предмет: Алгебра
  • Автор: fhhdhd55545
  • Вопрос задан 3 года назад

Помогитееее мне пожалуйста с полным решением!!!!!

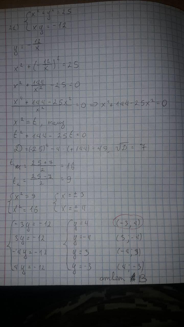
Приложения:

03090d: Лол
03090d: Есть чел который такие же номера не может решить
03090d: Ничего если я скажу ответы,но без решения

Ответы

Ответ дал: faergrach
1

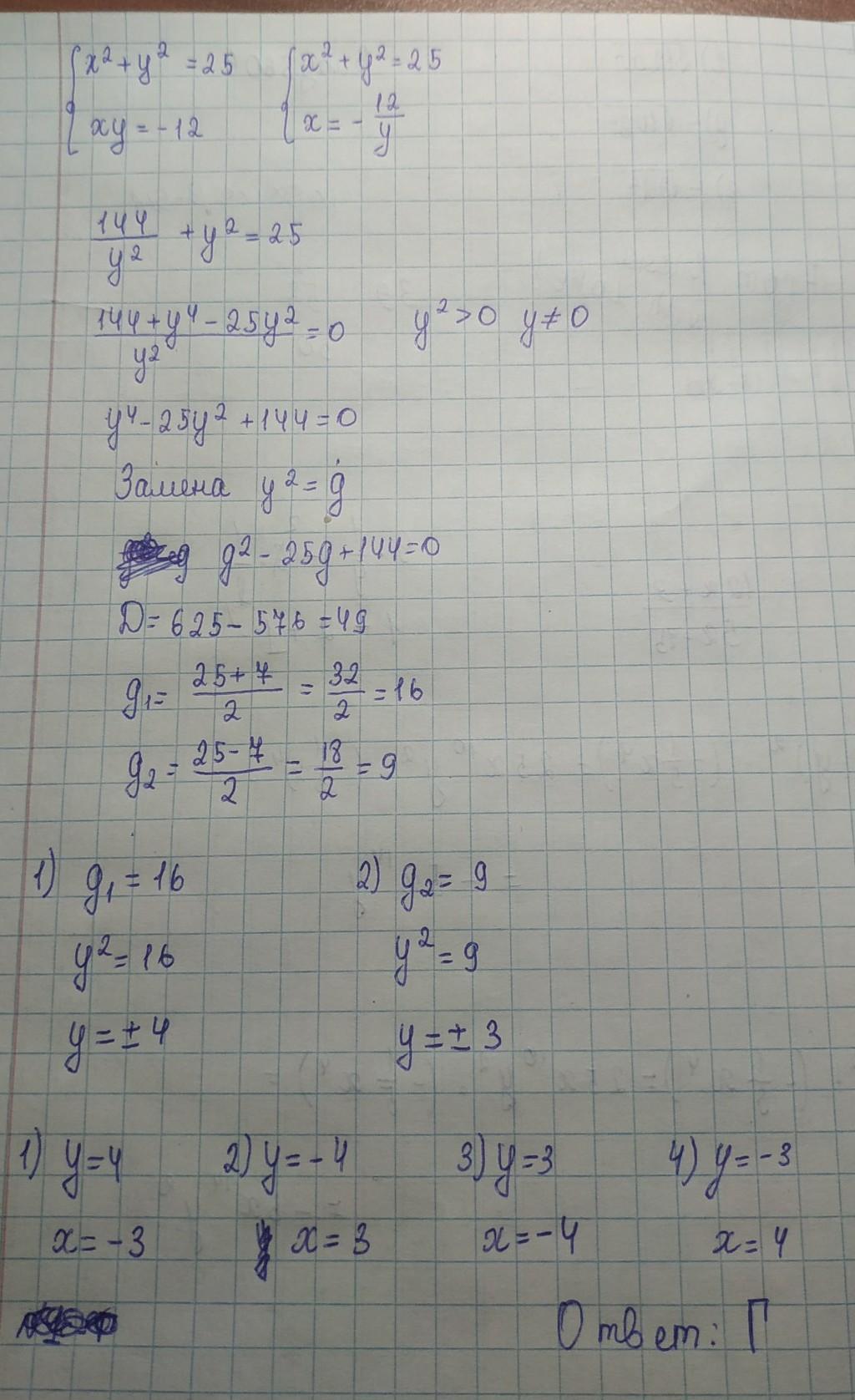
Ответ на фото..........

Приложения:
Ответ дал: 03090d
0

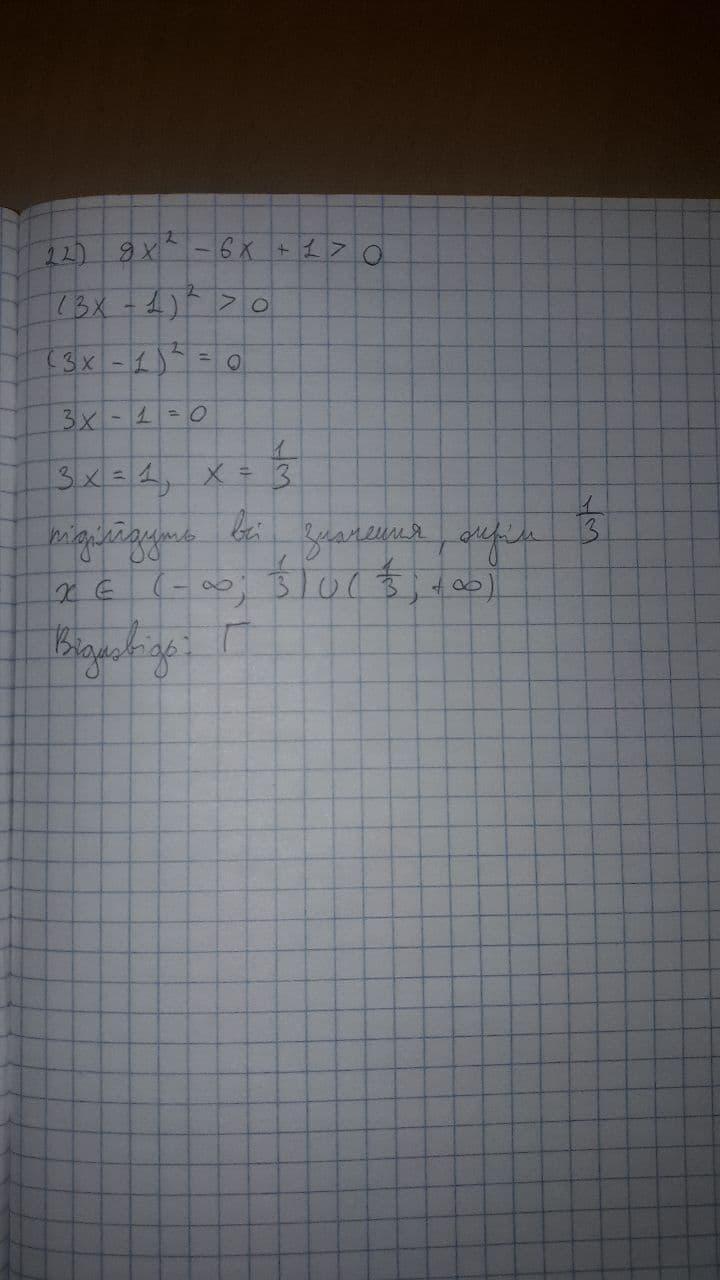
№21 ответ -- В

№22 ответ -- Г

Приложения:
Вас заинтересует