Помогите пожалуйста! Найти производные сложных функций, решать только те задачи, к которых рядом стоит галочка. Нужны не только ответы, но и решение
Буду очень благодарна!
Приложения:


AikaaZ:
Все не обязательно, хотя бы половину, срочно надо
Ответы
Ответ дал:
1
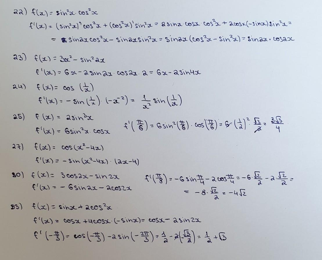
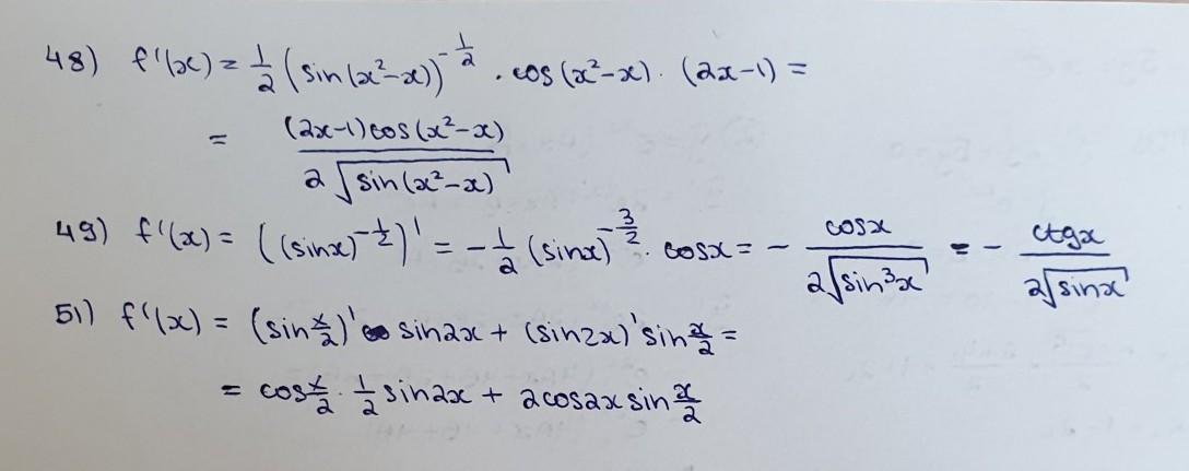
Ответ:
решение на фотографиях
Приложения:


Вас заинтересует
2 года назад
8 лет назад
8 лет назад
9 лет назад