Ответы
                                            Ответ дал: 
                                                                                            
                                                    
                                                
                                                                                    
                                        
                                            
                                                
                                                
                                                
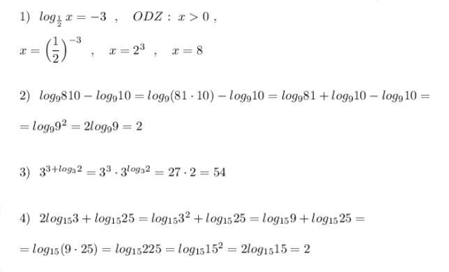
                                                    1
                                                
                                            
                                        
                                    Приложения:
                    
                            Вас заинтересует
                
                        2 года назад
                    
                
                        2 года назад
                    
                
                        2 года назад
                    
                
                        8 лет назад
                    
                
                        8 лет назад