• Предмет: Алгебра
  • Автор: Leno4ka7777
  • Вопрос задан 3 года назад

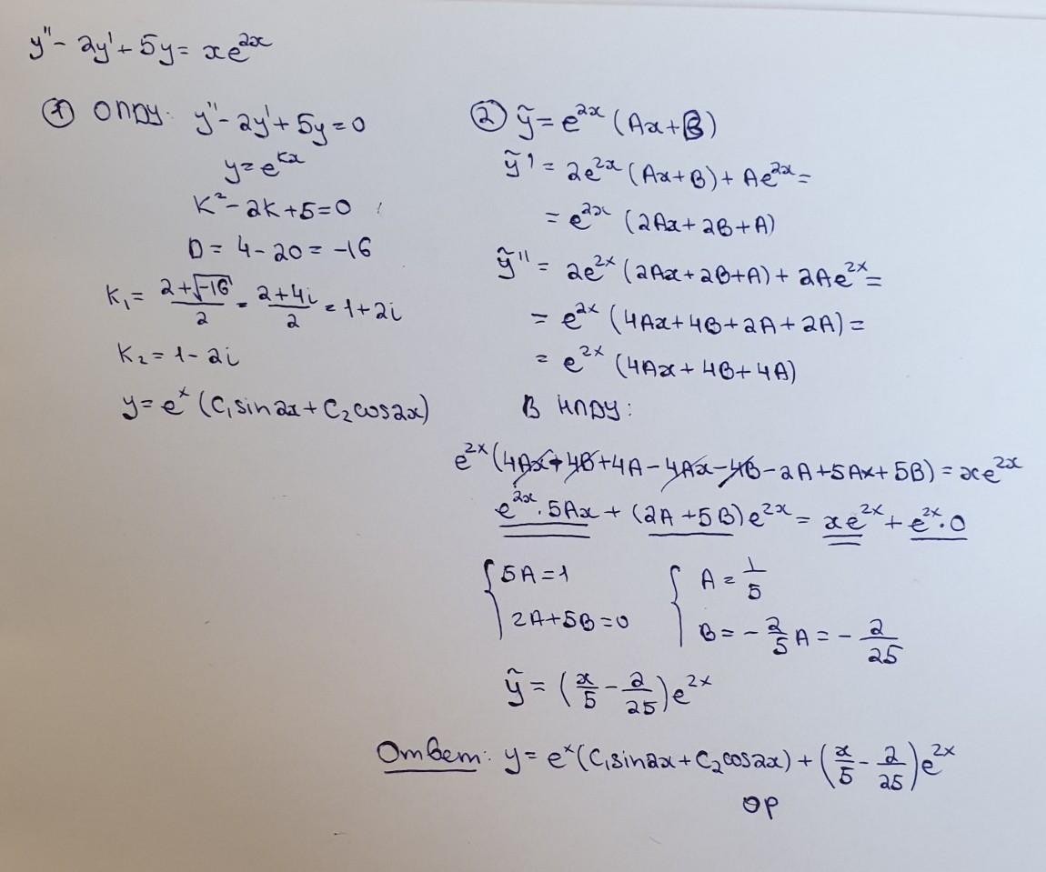
y’’-2y’+5y=xe^2x помогите решить))Общее решение

Ответы

Ответ дал: Miroslava227
1

Ответ:

решение на фотографии.

Приложения:

Аноним: привет, помоги пожалуйста
Вас заинтересует