• Предмет: Информатика
  • Автор: Аноним
  • Вопрос задан 3 года назад

помогите решить через python
Пожалуйста

Приложения:

Аноним: дам 20 баллов

Ответы

Ответ дал: merkkaa
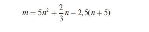
2

n = 1

m = 5*n**2+2/3*n-2.5*(n+5)

print(m)


Аноним: спасибо большое!
Аноним: а почему n именно 1? можно взять другое число?
merkkaa: да, конечно\
Аноним: спасибо)
Вас заинтересует