• Предмет: Математика
  • Автор: komarovmax659
  • Вопрос задан 3 года назад

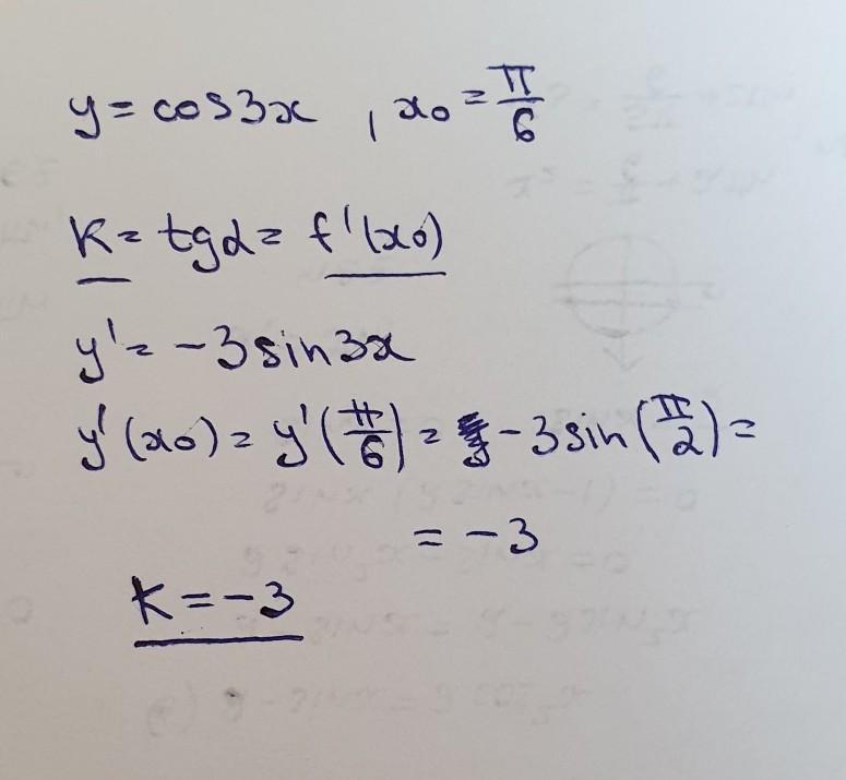
Найдите угловой коэффицент

Приложения:

Ответы

Ответ дал: Miroslava227
0

Ответ:

решение на фотографии.

Приложения:
Вас заинтересует