• Предмет: Математика
  • Автор: nasya4anyuta
  • Вопрос задан 3 года назад

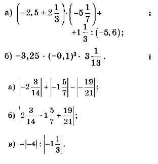
Решите пжжжжж! срочно нужно! даю 35 баллов

Приложения:

Ответы

Ответ дал: soskasos
0

Ответ:

а)13:21

б)-1:10^7+-1*10^-7

а) 127:42

б) 3,16

в) -3

Пошаговое объяснение:

Ответ дал: sultan270917
0

Ответ:

а)13,21

б)3,4000

а)127,42

Вас заинтересует