• Предмет: Алгебра
  • Автор: nikitamost777
  • Вопрос задан 3 года назад

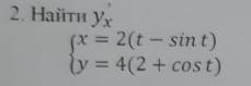
Помогите найти производную yx

Приложения:

Ответы

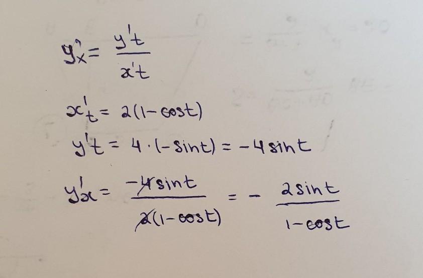
Ответ дал: Miroslava227
1

Ответ:

решение на фотографии.

Приложения:
Вас заинтересует