• Предмет: Математика
  • Автор: margaritakomrat2009
  • Вопрос задан 3 года назад



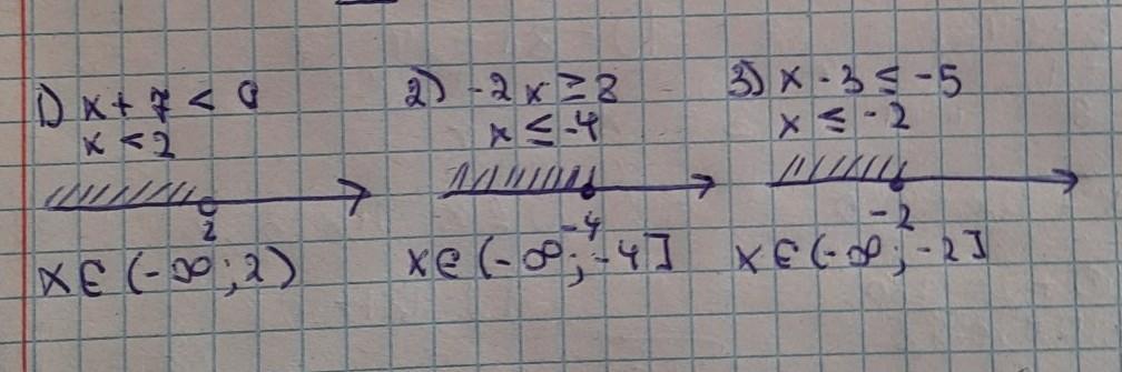
Решите неравенство.
Х +7 ˂ 9 2. -2х ≥ 8

3. Х – 3 ≤ -5

помогите пожалуйста ‍♀️✨​

Ответы

Ответ дал: agatagor
0

Ответ:

Если что-то не понятно,пиши в комментариях

Приложения:
Вас заинтересует