• Предмет: Математика
  • Автор: X4cKe223
  • Вопрос задан 3 года назад

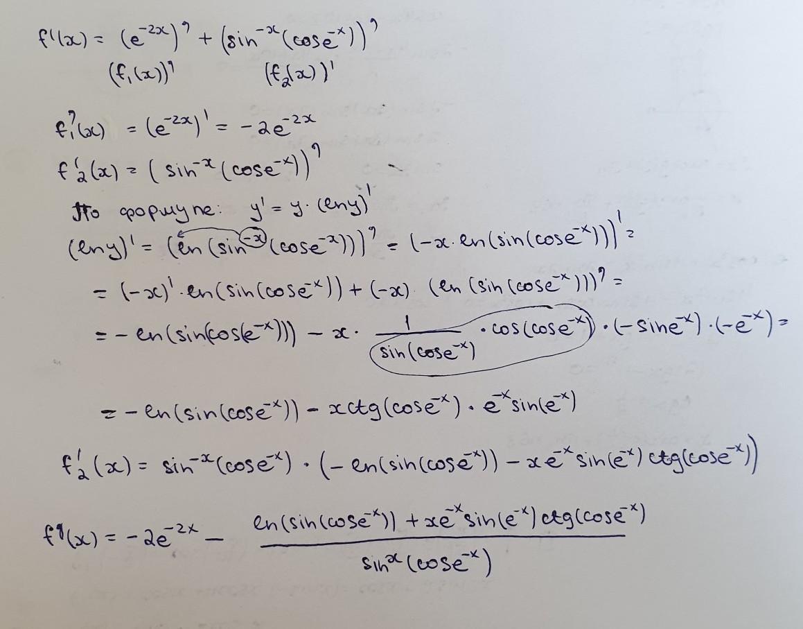
Помогите с решением данной производной с решением в формульном виде

Приложения:

Ответы

Ответ дал: Miroslava227
2

Ответ:

решение на фотографии.

Приложения:
Вас заинтересует