• Предмет: Математика
  • Автор: artvadbeats
  • Вопрос задан 3 года назад

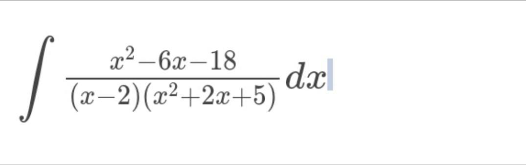
Помогите плиз срочно очень

Приложения:

Ответы

Ответ дал: thenasta01
1

Ответ:

незнаю еще не учила, прости

Пошаговое объяснение:

Вас заинтересует