• Предмет: Алгебра
  • Автор: AndreyShaev
  • Вопрос задан 3 года назад

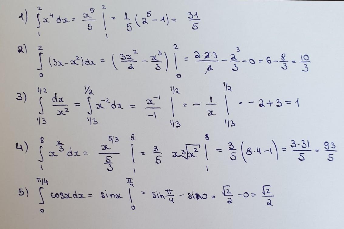
Помогите пожалуйста срочно нужно

Приложения:

Simba2017: первый решили?
Simba2017: 5)sinx=sin(pi/4)=V2/2
AndreyShaev: нет , желательно мне нужна полная роспись решения
Simba2017: 4)x^(5/3)/(5/3)=3*x^(5/3)/5=3*32/5-3/5=93/5=18.6
Simba2017: 1)x^5/5=32/5-1/5=31/5=6.2
AndreyShaev: вы можете расписать решение на бумаге и выложить решение ?
Simba2017: нет, у меня нет фотика

Ответы

Ответ дал: Miroslava227
1

Ответ:

решение на фотографии.

Приложения:
Вас заинтересует