• Предмет: Математика
  • Автор: tursunovaalina559
  • Вопрос задан 3 года назад

Помогите пожалуйста срочно надо​

Приложения:

Ответы

Ответ дал: svetavotbme
0

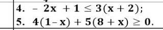
4. x=больше или равно -1

5. x= больше или равно -44

Ответ дал: annaabramenko577
0

Ответ:

1. 44.

Пошаговое объяснение:

4. х=больше или равно-1

5. х=больше или равно-44

Вас заинтересует