• Предмет: Химия
  • Автор: junusov27arman
  • Вопрос задан 3 года назад

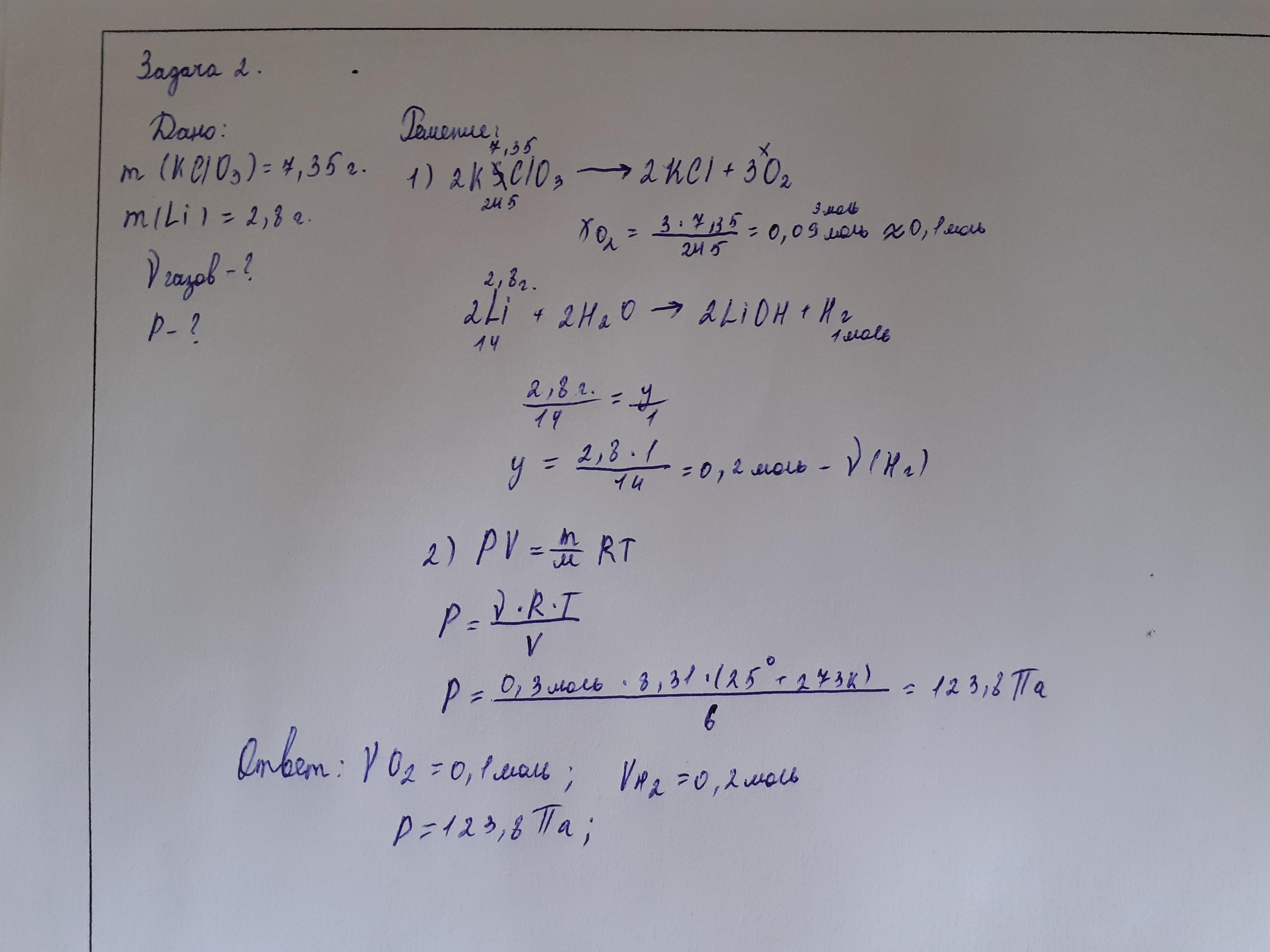
При прокаливании 7,35 г бертолетовой соли образуется газ, который смешали в сосуде вместимостью 6 л с газом, полученным при взаимодействии 2,8 г лития с водой


junusov27arman: ого молодец
junusov27arman: скинь если не жалко
Ne0trogay0menya: Щас перепишу
junusov27arman: спасибо
junusov27arman: скидываешь
junusov27arman: с какого города ты
Ne0trogay0menya: Я рядом с Карагандой
Ne0trogay0menya: Я перепутала я сделала 1 ,2, и 5
junusov27arman: отправь что есть
Ne0trogay0menya: Щас

Ответы

Ответ дал: Ne0trogay0menya
7

Ответ:в закрепе номер 1,2 и номер 5.Надеюсь всё видно...

Приложения:

junusov27arman: рахмет
Ne0trogay0menya: Пожалуйста)Если найдёшь 3 или 4 ,напиши пж
junusov27arman: 1, 5 не очень видно скинь еще раз
junusov27arman: Сейчас ищу если найду то обязательно скину
Ne0trogay0menya: Есть 4?:°
junusov27arman: нет не делал
Ne0trogay0menya: Аа ладно
Вас заинтересует