• Предмет: Алгебра
  • Автор: liya60
  • Вопрос задан 3 года назад

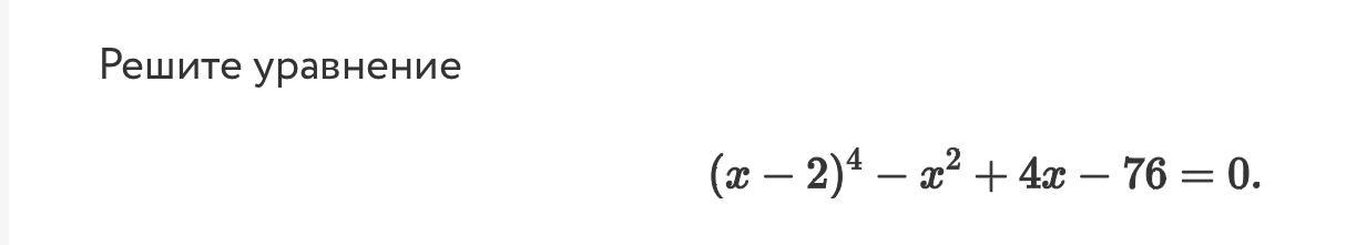
Решите уравнение, пожалуйста

Приложения:

MARS887: А ответа нет?

Ответы

Ответ дал: JackGhandilyan
0

Ответ:

????

Объяснение:

Приложения:
Вас заинтересует