• Предмет: Математика
  • Автор: lmorfinal
  • Вопрос задан 3 года назад

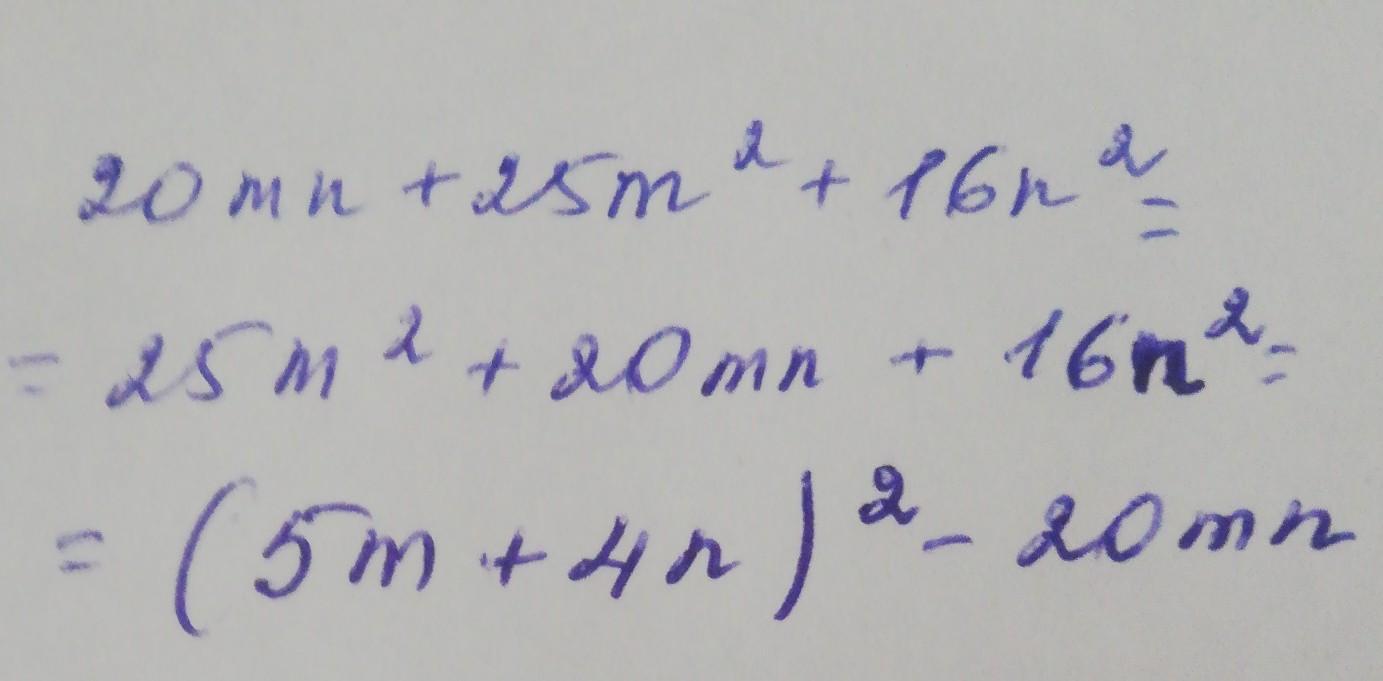
Выделите полный квадрат: 20mn+25m²+16n²

1)(5m-3n)²+15mn

2)(m³+2n)²+2m⁶

3)(5m+4n)²-20mn

4)(11m-4n)²+44mn

5)(5m-3n)²-15mn​

Ответы

Ответ дал: serovaksusa1
1

Ответ:

3

Смотри решение на фото

Приложения:
Вас заинтересует